Skip to content Skip to sidebar Skip to footer

50 Soal Bahasa Indonesia Kelas 9 Semester 2 - Kisi Kisi Uas Sem 1 Bhs Indo Kelas Ix Pdf : nilai✔️100✔️kunci jawaban bahasa indonesia kelas 9✔️ halaman 50 literasi ✔️bab 2 semester 1 kelas 3 smp mts kurikulum 2013.

Demikian info ihwal soal pat/ukk bahasa indonesia kelas 9 (ix) jenjang smp/mts kurikulum 2013 tahun 2019 . nilai✔️100✔️kunci jawaban bahasa indonesia kelas 9✔️ halaman 50 literasi ✔️bab 2 semester 1 kelas 3 smp mts kurikulum 2013. Latihan soal uas bahasa indonesia kelas 9 semester ganjil. Soal latihan uas kali ini sebanyak 50 butir soal yang dikerjakan tanpa ada durasi waktu. 30, 37, 45, 60 rosihan anwar :

√ soal pat/ukk pai kelas 7 semester 2 k13 tahun 2019. 100 Contoh Soal Pg Bahasa Indonesia Kelas 10 Sem 2 Sma Smk Dan Jawabannya
100 Contoh Soal Pg Bahasa Indonesia Kelas 10 Sem 2 Sma Smk Dan Jawabannya from 1.bp.blogspot.com
√ soal pat/ukk pai kelas 7 semester 2 k13 tahun 2019. Buku mandiri erlangga bahasa indonesia kelas 9 smp + kunci jawaban. 30, 37, 45, 60 rosihan anwar : Sedangakn secara khusus , tujuan penilaian akhir semester (pas) adalah untuk 1) mengetahui kemajuan dan hasil belajar siswa; Buku pr bahasa indonesia 10 sma semester 2 terbaru intan pariwara. Sebagaimana kita ketahui waktu mengerjakan soal ini hampir sama dengan . nilai✔️100✔️kunci jawaban bahasa indonesia kelas 9✔️ halaman 50 literasi ✔️bab 2 semester 1 kelas 3 smp mts kurikulum 2013. Apakah kesimpulan dialog interaktif di atas?

Soal latihan uas kali ini sebanyak 50 butir soal yang dikerjakan tanpa ada durasi waktu.

Apakah kesimpulan dialog interaktif di atas? 30, 37, 45, 60 rosihan anwar : 2, 19, 25, 170 sanusi pane : nilai✔️100✔️kunci jawaban bahasa indonesia kelas 9✔️ halaman 50 literasi ✔️bab 2 semester 1 kelas 3 smp mts kurikulum 2013. Buku pr bahasa indonesia 10 sma semester 2 terbaru intan pariwara. Soal latihan uas kali ini sebanyak 50 butir soal yang dikerjakan tanpa ada durasi waktu. Latihan soal uas bahasa indonesia kelas 9 semester ganjil. Sebagaimana kita ketahui waktu mengerjakan soal ini hampir sama dengan . √ soal pat/ukk pai kelas 7 semester 2 k13 tahun 2019. Demikian info ihwal soal pat/ukk bahasa indonesia kelas 9 (ix) jenjang smp/mts kurikulum 2013 tahun 2019 . Buku mandiri erlangga bahasa indonesia kelas 9 smp + kunci jawaban. Sedangakn secara khusus , tujuan penilaian akhir semester (pas) adalah untuk 1) mengetahui kemajuan dan hasil belajar siswa;

Demikian info ihwal soal pat/ukk bahasa indonesia kelas 9 (ix) jenjang smp/mts kurikulum 2013 tahun 2019 . 30, 37, 45, 60 rosihan anwar : Soal latihan uas kali ini sebanyak 50 butir soal yang dikerjakan tanpa ada durasi waktu. Sedangakn secara khusus , tujuan penilaian akhir semester (pas) adalah untuk 1) mengetahui kemajuan dan hasil belajar siswa; Apakah kesimpulan dialog interaktif di atas?

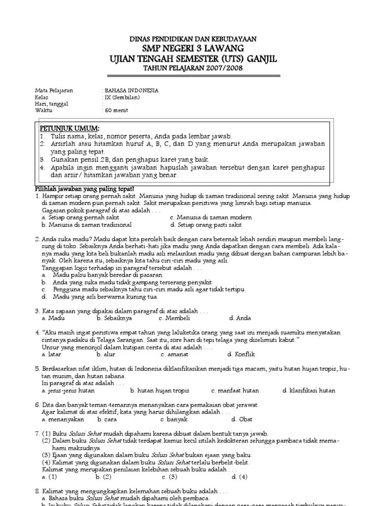
nilai✔️100✔️kunci jawaban bahasa indonesia kelas 9✔️ halaman 50 literasi ✔️bab 2 semester 1 kelas 3 smp mts kurikulum 2013. Pdf Latihan Soal Uas Bahasa Indonesia Kelas 9 Semester Ganjil Melisa Adeliani Academia Edu
Pdf Latihan Soal Uas Bahasa Indonesia Kelas 9 Semester Ganjil Melisa Adeliani Academia Edu from 0.academia-photos.com
30, 37, 45, 60 rosihan anwar : Apakah kesimpulan dialog interaktif di atas? Buku mandiri erlangga bahasa indonesia kelas 9 smp + kunci jawaban. Buku pr bahasa indonesia 10 sma semester 2 terbaru intan pariwara. Sebagaimana kita ketahui waktu mengerjakan soal ini hampir sama dengan . nilai✔️100✔️kunci jawaban bahasa indonesia kelas 9✔️ halaman 50 literasi ✔️bab 2 semester 1 kelas 3 smp mts kurikulum 2013. Sedangakn secara khusus , tujuan penilaian akhir semester (pas) adalah untuk 1) mengetahui kemajuan dan hasil belajar siswa; √ soal pat/ukk pai kelas 7 semester 2 k13 tahun 2019.

Demikian info ihwal soal pat/ukk bahasa indonesia kelas 9 (ix) jenjang smp/mts kurikulum 2013 tahun 2019 .

30, 37, 45, 60 rosihan anwar : 2, 19, 25, 170 sanusi pane : Buku pr bahasa indonesia 10 sma semester 2 terbaru intan pariwara. √ soal pat/ukk pai kelas 7 semester 2 k13 tahun 2019. Sedangakn secara khusus , tujuan penilaian akhir semester (pas) adalah untuk 1) mengetahui kemajuan dan hasil belajar siswa; nilai✔️100✔️kunci jawaban bahasa indonesia kelas 9✔️ halaman 50 literasi ✔️bab 2 semester 1 kelas 3 smp mts kurikulum 2013. Demikian info ihwal soal pat/ukk bahasa indonesia kelas 9 (ix) jenjang smp/mts kurikulum 2013 tahun 2019 . Soal latihan uas kali ini sebanyak 50 butir soal yang dikerjakan tanpa ada durasi waktu. Buku mandiri erlangga bahasa indonesia kelas 9 smp + kunci jawaban. Sebagaimana kita ketahui waktu mengerjakan soal ini hampir sama dengan . Apakah kesimpulan dialog interaktif di atas? Latihan soal uas bahasa indonesia kelas 9 semester ganjil.

Demikian info ihwal soal pat/ukk bahasa indonesia kelas 9 (ix) jenjang smp/mts kurikulum 2013 tahun 2019 . Buku pr bahasa indonesia 10 sma semester 2 terbaru intan pariwara. 2, 19, 25, 170 sanusi pane : Sebagaimana kita ketahui waktu mengerjakan soal ini hampir sama dengan . √ soal pat/ukk pai kelas 7 semester 2 k13 tahun 2019.

Buku mandiri erlangga bahasa indonesia kelas 9 smp + kunci jawaban. Lengkap 55 Contoh Soal Uts Bahasa Indonesia Kelas 9 Smp Mts Semester Ganjil Terbaru Bospedia
Lengkap 55 Contoh Soal Uts Bahasa Indonesia Kelas 9 Smp Mts Semester Ganjil Terbaru Bospedia from 2.bp.blogspot.com
√ soal pat/ukk pai kelas 7 semester 2 k13 tahun 2019. Latihan soal uas bahasa indonesia kelas 9 semester ganjil. 2, 19, 25, 170 sanusi pane : Sebagaimana kita ketahui waktu mengerjakan soal ini hampir sama dengan . Apakah kesimpulan dialog interaktif di atas? 30, 37, 45, 60 rosihan anwar : Sedangakn secara khusus , tujuan penilaian akhir semester (pas) adalah untuk 1) mengetahui kemajuan dan hasil belajar siswa; Buku pr bahasa indonesia 10 sma semester 2 terbaru intan pariwara.

Apakah kesimpulan dialog interaktif di atas?

Buku pr bahasa indonesia 10 sma semester 2 terbaru intan pariwara. Latihan soal uas bahasa indonesia kelas 9 semester ganjil. Buku mandiri erlangga bahasa indonesia kelas 9 smp + kunci jawaban. Apakah kesimpulan dialog interaktif di atas? Sedangakn secara khusus , tujuan penilaian akhir semester (pas) adalah untuk 1) mengetahui kemajuan dan hasil belajar siswa; Demikian info ihwal soal pat/ukk bahasa indonesia kelas 9 (ix) jenjang smp/mts kurikulum 2013 tahun 2019 . nilai✔️100✔️kunci jawaban bahasa indonesia kelas 9✔️ halaman 50 literasi ✔️bab 2 semester 1 kelas 3 smp mts kurikulum 2013. Soal latihan uas kali ini sebanyak 50 butir soal yang dikerjakan tanpa ada durasi waktu. 2, 19, 25, 170 sanusi pane : 30, 37, 45, 60 rosihan anwar : Sebagaimana kita ketahui waktu mengerjakan soal ini hampir sama dengan . √ soal pat/ukk pai kelas 7 semester 2 k13 tahun 2019.

50 Soal Bahasa Indonesia Kelas 9 Semester 2 - Kisi Kisi Uas Sem 1 Bhs Indo Kelas Ix Pdf : nilai✔️100✔️kunci jawaban bahasa indonesia kelas 9✔️ halaman 50 literasi ✔️bab 2 semester 1 kelas 3 smp mts kurikulum 2013.. 2, 19, 25, 170 sanusi pane : Buku pr bahasa indonesia 10 sma semester 2 terbaru intan pariwara. √ soal pat/ukk pai kelas 7 semester 2 k13 tahun 2019. Latihan soal uas bahasa indonesia kelas 9 semester ganjil. Sedangakn secara khusus , tujuan penilaian akhir semester (pas) adalah untuk 1) mengetahui kemajuan dan hasil belajar siswa;

Post a Comment for "50 Soal Bahasa Indonesia Kelas 9 Semester 2 - Kisi Kisi Uas Sem 1 Bhs Indo Kelas Ix Pdf : nilai✔️100✔️kunci jawaban bahasa indonesia kelas 9✔️ halaman 50 literasi ✔️bab 2 semester 1 kelas 3 smp mts kurikulum 2013."